各有关单位∶
根据《科技型中小企业评价办法》(国科发政〔2017〕115 号)和《科技型中小企业评价服务工作指引》(国科火字〔2022〕67号)有关规定,现将安徽省2022年第六批1268家拟入库科技型中小企业名单(详见附件)予以公示,公示期为10个工作日。
对公示企业有异议的,请在公示期内以实名、书面形式向省科技厅反映,反映情况须客观真实,以单位名义反映情况的材料需加盖单位公章,以个人名义反映情况的材料应署真实姓名并提供有效联系方式。
联系方式∶ 省高新技术发展中心 0551-65370026
省科技厅高新处 0551-62674421
通讯地址∶合肥市包河区安徽路1号409室
邮政编码∶230091
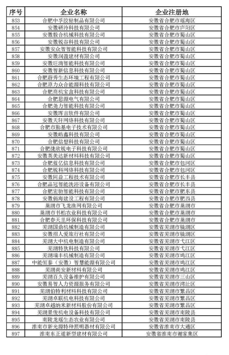
附件∶安徽省2022年第六批拟入库科技型中小企业名单
安徽省科学技术厅
2022年8月12日
